Schärfentiefe
Größen & Formeln

grundlegende formelmäßige Zusammenhänge:
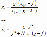
| Schärfentiefennahgrenze |
| Wird auf eine Entfernung g fokussiert, so wird ab einer Entfernung xn (d.h. wenn xn < g) ein scharfes Bild erzeugt. |
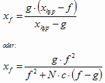
| Schärfentiefenferngrenze |
| Wird auf eine Entfernung g fokussiert, so wird bis zu einer Entfernung xf (d.h. wenn xf < g) ein scharfes Bild erzeugt. |
| hyperfokale Distanz |
| Wird auf die Entfernung xhyp fokussiert, so wird auch alles scharf abgebildet, was weiter entfernt ist als xhyp. |
| Blendenzahl |
| Blendenzahl wie am Objektiv einzustellen (1.4, 2.0, 2.8, ...) |
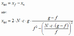
| Schärfentiefe |
| Distanz zwischen der Schärfentiefenfern- und der Schärfentiefennahgrenze. Wird auf eine Entfernung g fokussiert, so wird alles zwischen xn und xf (d.h. wenn xn < g < xf) scharf abgebildet. |
weitere in den Formeln verwendete Größen:
| g | Distanz zwischen Hauptebene und Gegenstandsebene = Gegenstandsweite |
| b, bn, bf | Distanz zwischen Hauptebene und Bildebene (Sensor bzw. Film) = Bildweiten korrespondierend zur allgemeinen Gegenstandsweite g, zur Schärfentiefennahgrenze xn und zur Schärfentiefenferngrenze xf |
| f | Brennweite |
| D | Eintrittspupille, wirksame Objektivöffnung bzw. Blendendurchmesser |
| c | maximal zulässiger Zerstreuungskreisdurchmesser; zulässiger Durchmesser eines Unschärfekreises im Bild, der in der "Gegenstandswelt" einen Punkt repräsentiert. Gemäß häufig verwendeter Konvention ist c = d/1500. Wobei d der Bilddiagonalen entspricht. Wert kann im Schärfentiefe-Rechner jedoch überschrieben werden. |
| zurück zum Workshop | nach oben |


