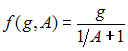
| Abbildungsmaßstab | | Abbildungsmaßstab, der sich ergibt, wenn man die Distanz zum Gegenstand (als Gegenstandsweite) und die Brennweite des Objektivs kennt |
| | | |
| Gegenstandsweite |  | Distanz, die man zum Gegenstand einnehmen muss, wenn man weiß, in welchem Maßstab dieser aufgenommen werden soll und man die Brennweite des Objektivs kennt |
| | | |
| Brennweite | | Brennweite des Objektivs, die man verwenden muss, wenn man weiß, wie weit der Gegenstand, der aufgenommen werden soll, entfernt ist und mit welchem Abbildungsmaßstab diese Aufnahme gemacht erden soll. |